|
Vitamin B6 (Pyridoxine)

The coenzymes pyridoxal 5-phosphate and pyridoxamine 5-phosphate are derivatives
of vitamin B6. The conversion of pyridoxine to the active form of vitamin B6 requires ATP and is catalyzed by
pyridoxal kinase. It is part of the catalytic site of several enzymes
involved in the amino acid and glycogen metabolism.
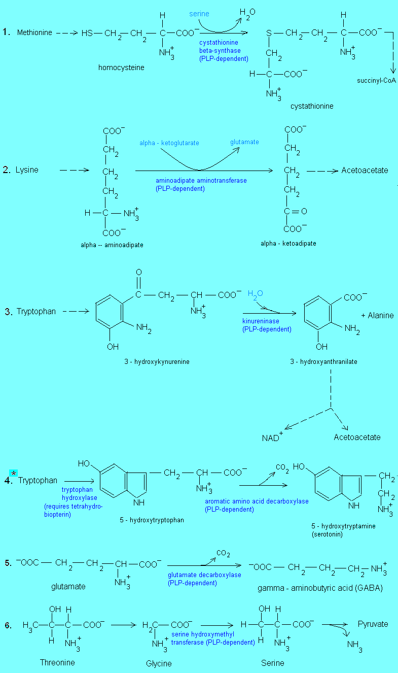
- Necessary for the synthesis and degradation of amino acids (the transaminase reaction catalyzed by
the aminotransferases
is the first stage of amino acids degradation). In most reactions
catalyzed by these enzymes, a-ketoglutarate is the amino group acceptor.
- Plays a role in the metabolism of carbohydrates, i.e. the pyridoxal phosphate (PLP) is an essential cofactor for
the enzyme glycogen phosphorylase, which catalyzes glycogen phosphorolysis to yield
glucose-1-phosphate. The PLP is covalently attached to the enzyme via a Schiff base to one of the lysine residues.
When blood glucose runs low because of a reduced caloric intake or intense physical activity carbohydrate liver
reserves (as glycogen) are mobilized to restore normal blood sugar levels. Decreased glucose tolerance may be
associated with vitamin B6 deficiency.
- Essential for energy production from amino acids that are converted to citric acid cycle components:
Aspartate, phenylalanine, tyrosine ------------> fumarate
Isoleucine, valine, methionine ---------------> succinyl-CoA
Asparagine, aspartate --------------> oxaloacetate
Other amino acids can be degraded to citric acid cycle components as well.
- In brain chemistry takes part in the synthesis of chemical transmitters, such as serotonin,
epinephrine/norepinephrine,g-aminobutyric acid.
- Involved in heme (the prosthetic group of hemoglobin of the red blood cells and myoglobin of muscle as
well as of cytochromes of the electron transport chain) and prostaglandin biosynthesis
as well as in the proper metabolism of skin and mucosal cells lining the respiratory and digestive tracts.
- Vitamin B6 inhibits platelet aggregation. Aggregated platelets release chemoattractants for the smooth muscle cells
that form a thick subendothelial layer and this is one of the several factors that contribute to the formation of
atherosclerotic lession.
- Involved in the degradation of homocysteine, a product of methionine catabolism. The oxidation of homocysteine
was shown to contribute to the formation of atherosclerotic plaque through a series of reactions involving LDL,
macrophages and the monolayer of endothelial cells that line the inside of the blood vessels wall.
- The ingestion of megadoses (2 to 6 g/day for several months) of vitamin B6 (mistakenly taken for premenstrual
tension) may cause progressive sensory ataxia and lower limb impairment of position and vibration sense. The motor
and CNS activity are not affected.
- Interactions: Vitamin B2 and magnesium are required to convert vitamin B6 to
pyridoxal 5-phosphate. Vitamin B6 is required for proper absorption of vitamin B12. Substances such
as hydrazine-based food dyes, certain drugs (isoniazid, penicillamine, dopamine), alcohol, excessive protein intake
decrease the amount of vitamin B6 in the body.
- Health benefits: supplementation is useful in conditions such as asthma,
cardiovascular disease, carpal tunnel syndrome, depression, skin disorders, osteoporosis, diabetes.
- Best food sources: brewer's yeast, sunflower seeds, wheat germs, soybeans,
brown rice, green veggies.
Some of the reactions that require the presence of coenzyme PLP are shown below:

* To view an animation of the reaction mechanism click here
then click on "Contents" link and follow through "Enzyme Mechanisms" link, then Pyridoxal Phosphate-Catalyzed Alpha
Decarboxylation Tutorial link. Rather complicated but that's the only way it works.
|